QWED提供的法布里珀罗开放式谐振器 (FPOR) 只需使用一个夹具,即可在110 ghz至170 ghz的频率范围内准确表征介电薄片。

软件控制的法布里-珀罗开放式谐振器装置,配备一台R & S®ZNA26矢量网络分析仪和两台R & S®ZC170毫米波变频器。
您的任务
您需要了解自己生产或从第三方制造商处购买的材料介电片的微波特性。这些知识对于优化材料生产工艺或设计毫米波电路(例如用于6g技术)都非常有用。
这些材料包括聚合物(例如聚丙烯、聚氯乙烯)、PCB基板(例如FR-4、RT5880)、玻璃(例如熔融石英、硼硅酸盐)或单晶硅片(例如石英、蓝宝石)。材料的损耗正切可低至1 × 10-4,但仍能在110 ghz至170 ghz范围内进行精确测量。如果非谐振测量夹具(例如基于自由空间或波导的解决方案)无法满足您的D频段测量要求,可以尝试使用法布里珀罗开放式谐振器 (FPOR)。

基于FPOR的解决方案
FPOR提供了一种精确的技术,可以在110 GHz到170 GHz的频率范围内测量介电薄膜的复介电常数,分辨率为1.5 GHz。除了FPOR夹具外,还需要一台双端口R & S®ZNA26矢量网络分析仪 (VNA) 和一台电脑,就可以自动、快速、简单地完成测量。在D频段进行测量时,还需要使用一个波导适配器将两台R & S®ZC170毫米波变频器连接到同轴耦合的FPOR。
被测材料 (MUT) 的特性分析是在FPOR的连续奇数高斯模式下进行的,该模式表示为TEM0,0,q,其中q是纵向模式阶数。MUT通常准确位于谐振器的中间,即电场最大值处的高斯束腰。将MUT插入FPOR的专用聚碳酸酯样品支架上,样品支架中间有一个圆形开口(外径 < 50毫米)。如果样品适合FPOR,则测量是非破坏性的,无需对MUT进行特殊准备。
原始测量数据(特别是因插入MUT而引起的谐振频率和相应Q因子的变化),可分别转化为介电常数 (Dk) 和损耗因数 (Df)。对于Dk,在预处理阶段使用FPOR的电磁 (EM) 模型计算谐振频率与MUT厚度和Dk的函数关系的查找表。
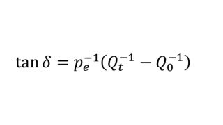
一旦评估出MUT的Dk,就可以用下面的公式计算出相应的Df:

您的任务
您需要了解自己生产或从第三方制造商处购买的材料介电片的微波特性。这些知识对于优化材料生产工艺或设计毫米波电路(例如用于6g技术)都非常有用。
这些材料包括聚合物(例如聚丙烯、聚氯乙烯)、PCB基板(例如FR-4、RT5880)、玻璃(例如熔融石英、硼硅酸盐)或单晶硅片(例如石英、蓝宝石)。材料的损耗正切可低至1 × 10-4,但仍能在110 ghz至170 ghz范围内进行精确测量。如果非谐振测量夹具(例如基于自由空间或波导的解决方案)无法满足您的D频段测量要求,可以尝试使用法布里珀罗开放式谐振器 (FPOR)。
Qt是有样品时谐振器的Q因子,Q0是无样品时谐振器的Q因子,pe表示MUT的电能填充因子。后者使用频率递增规则进行评估。
介电常数和损耗正切的测量
Dk不确定度主要且几乎直接受MUT厚度不确定度的影响。例如,1% 的厚度不确定度会导致约1% 的Dk不确定度。如果保持良好的测量条件,Dk测量方法本身的精度可达到0.25%。此外,热漂移引起的波动也会得到补偿。
Df不确定度取决于许多因素,如MUT的厚度、Df级、矢量网络分析仪设置和振动。不过,Q因子远大于200,000,即使对于损耗低至1 × 10-4的材料,也能实现优于 ± 5% 的不确定度。
由于FPOR中利用的高斯模式是线性极化的,因此可以测量样品的面内各向异性,其他谐振方法无法做到这一点。由于物理结构(如晶体)或材料加工(如某些聚苯乙烯薄膜)的原因,各类材料都会表现出这种面内各向异性。如果将这样的样品任意插入FPOR,很可能会发生模式分裂,进而出现两个谐振频率。在这种情况下,必须旋转样品,直到其中一条谐振曲线消失。然后可以继续进行复介电常数测量。接着将样品再旋转90度,重复整个过程。通常情况下,Df不像Dk那样表现出各向异性。

不同材料在D频段的Dk

具有面内各向异性的高抗冲聚苯乙烯 (HlPS) 的Dk

不同材料在D频段的Df

具有面内各向异性的高抗冲聚苯乙烯的Df
相关产品
OE4201是一款浮地隔离的压控电流源设备,可为其他仪器设备提供电流源。OE4201输出增益具有2mA/V与200mA/V两个档位,频率为1Hz-100kHz的交流电流。作为一款电流源仪器,OE4201精度高,稳定性好,输出基本上跟负载和外电压变化无关,抗干扰能力强,反应速度快。该仪器适用于与锁相放大器等灵敏交流仪器配...
OE4003 超低噪声前置放大器,2 nV/√Hz输入噪声。10,20,50,100倍增益,10kΩ输入阻抗,单端或差分输入
OE4002是一款低噪声超高输入阻抗的前置放大器,输入阻抗高达10MΩ,并具有绝佳的共模抑制能力。
OE4101是跨阻电流放大器,通过负反馈结构,利用反馈电阻实现输入电流到电压的转换,并且控制放大倍数。 OE4102通过测量输入电流通道上电阻的压降来检测电流,放大并输出与被测电流成正比的电压信号。
相关文章
在精密电子测量领域,阻抗分析仪是评估元件阻抗特性的重要工具,广泛应用于电容、电感、电阻及复杂阻抗网络的测试。然而,测量结果的准确性不仅取决于仪器本身的性能,更与校准操作密切相关。其中,开路校准与短路校准是确保测量精度的基础步骤,其核心目标在于消除测试系统中的寄生参数影响。
在EV及工业设备不断追求高性能的背景下,电机的多相化发展持续加速。传统主流的三相结构逐渐被替代,采用五 相、六相这类多相电机的情况日益增多,其具体应用有望拓展至电动飞行器、自动驾驶EV等领域。
次时代无线通信5G正在快速普及中。5G拥有低延时以及多连接的特点。例如车对车通信系统VX2,高速通讯的用途在增加。高速信号使用的回路中不可或缺的元器件之一“PIN二极管”。PIN二极管是P区和N区中间夹一层本征层(Intrinsic Layer)的半导体器件。P区、I区、N区取各自的首字母从而被称为PIN。
电机测试中启动电流测试被视为必不可少的测试环节,由于电机启动时冲击电流幅值较大,不仅会极大的缩短电机的使用寿命,同时也会对电网产生极大影响,因此工程师在电机测试过程中必须准确测试电机启动电流,以采取准确的应对措施。
R&S®SMW200A矢量信号发生器可在高度集成的雷达场景模拟器中充当强大而灵活的信号发生源,用于最逼真和灵活的雷达场景。借助R&S®SMW-K503/-K504选件,R&S®SMW200A可以使用流式脉冲描述字(PDW)生成未来的高级I/Q调制雷达信号。它支持高达12兆脉冲描述字/秒(MPDW...
联系电话: 18165377573