电动汽车的电机需实现从低速到高速的高效输出。因此,通过改变电机的转速和扭矩,绘制可展示在不同参数条件下效率表现的效率 MAP 图就极为重要。
在本应用案例中,我们将为大家介绍基于永磁同步电机 (PMSM) 效率测试值制成的效率 MAP 图。
逆变器输出和电机输出、损耗之间的关系

当逆变器向电机提供电压时,电流流过电机绕组在定子中产生磁通量,磁通量产生的磁场使转子旋转。由于 PMSM 与逆变器输出电压的基波同步旋转,因此电机的输出中会含基波分量。另外,基波分量的一部分会作为电机的铁损和铜损被消耗。另一方面,基波的谐波分量以及开关频率等高频分量则会成为损耗。
电机效率的测量

使用功率分析仪测量电机系统时,除逆变器的总输出外,还可单独测量基波输出。此外,可以通过测量电机的扭矩和 转速来测量电机的输出。功率分析仪搭载了在这些值的基础上内部运算效率及损耗的功能。因此,可轻松收集生成效率 MAP 图所需的测量数据。

损耗分离 :铜损和铁损
为了提高电机的效率,有必要将铜损和铁损分开,并确定各自的损耗。铜损是由于绕组电阻引起的损耗。铁损包括涡 流损耗和磁滞损耗,受磁场和频率影响。功率分析仪可以分离这些损耗,并绘制在不同条件下损耗的 MAP 图。
铜损的计算
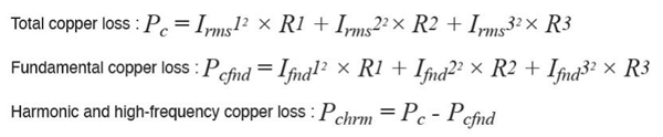
电机铜损是指流过电机绕组的电流在导线电阻上产生的损耗。因此,可以通过事先测量电机的导线电阻,再结合功率分析仪测到的电流(lrms) 求出铜损。

在功率分析仪中,由于也会测量基波电流 (Ifnd),因此不仅可以计算所有铜损 (Pc),还能计算基波铜损 (Pcfnd)。 假设电机各相的绕组电阻值为 R1、R2、R3,则各自的铜损可通过以下公式计算。需要注意的是,总铜损 (Pc) 与基波铜损 (Pcfnd) 的差值即为谐波和高频分量引起的铜损 (Pchrm)。
功率分析仪具有称为“用户定义函数(UDF)”的功能,因此通过定义公式可以在获取测量值的同时计算铜损。
铁损的计算
铁损可从之前获得的输出和损耗中计算得出。

分离机械损耗测量较为困难,且通常其占比也小,因此在本资料中将其包含在铁损内。
生成效率 MAP 图
电机的输出由扭矩和转速决定。对于电动汽车等需要在广泛范围的转速和扭矩下运行的电机而言,掌握不同动作条件 下铜损和铁损的分布情况对设计的改进至关重要。因此,制作以动作条件为坐标的效率与损耗 MAP 图 ( 包括总损耗、铜损、 铁损 ),可为逆变器和电机的设计提供重要参考。
效率 MAP 图生成示例
根据获得的数据,使用 MATLAB* 生成效率 MAP 图。
*MATLAB 是由 MathWorks 公司开发的软件产品

生成高精度电机效率 MAP 图
如上所述,电机的效率和损耗可以由逆变器和电机的输出得出。然而,由于以下原因,高精度测量电机的效率和损耗有一定难度。
· 逆变器输出由 PWM 调制而成,其中含有开关频率及其谐波分量,因此需要宽频带的功率测量。
· 逆变器的谐波功率为低功率因数,测量仪器的相位误差一旦较大就无法正确测量谐波功率。 · 电机要在低速至高速的广泛范围内运转,因此需要在整个动作范围进行高精度测量。
· 电机要在低速至高速的广泛范围内运转,因此需要在整个动作范围进行高精度测量。
PW8001 覆盖了从 DC 到 5 MHz 的宽频率带宽,基本测量精度为 0.03%。此外,使用精度高的电流传感器可进行大电流测量,通过电流传感器的相位补偿功能,即使是低功率因数也能实现高精度测量。

结语
本应用案例基于功率效率和损耗的相关理论,介绍了 PWM 法驱动 PMSM 的测量,将损耗分为铜损和铁损的方法以 及效率与损耗 MAP 图的生成。并且对于在电机研发与设计过程中,针对电机效率改善的实践性测量、计算方法及如何运 用 HIOKI 的 PW8001 和电流传感器解决测量上的课题进行了介绍。
相关产品
精度-在同类功率分析仪器中,青智的8962A1是带宽范围0.5Hz-300KHz,精度达到0.1级的功率分析仪,它可以执行多达500次谐波分析(工频的基波频率)。 • 可靠-测量需要重复执行并需要追求准确性。8962A1稳定性极高,无论现在还是将来,都可以确保完成精准的测量。 • 灵活-8962A1不但拥有最多6...
精度-在同类功率分析仪器中,青智的8966C1是带宽范围0.5Hz-2MHz,精度达到0.01级的功率分析仪,它可以执行多达500次谐波分析(工频的基波频率)。 • 可靠-测量需要重复执行并需要追求准确性。8966C1稳定性极高,无论现在还是将来,都可以确保完成精准的测量。 • 灵活-8966C1支持多路可达6通道...
TOPRIE拓普瑞TP600电参数功率分析仪是一款功能强大、应用广泛的仪器,其主要特点如下: 一、产品参数 显示:10英寸触摸显示屏 检测对象:温度、
PA8000是一款认证级功率分析仪,功率精度高达0.01%、带宽高达5MHz,是逆变器、变频器与电源产品能效测量的基准,也是标准实验室认证检测的依据。
相关文章
根据电磁定律,当磁场变化时,附近的导体会产生感应电动势,其方向符合法拉第定律和楞次定律,与原先加在线圈两端的电压正好相反,这个电压就是反电动势。反电动势是指与电源的电动势方向相反的电动势。对线圈而言,其中的通电电流发生变化时就会在线圈的两端产生反电动势,电机的线圈在转动时,反电动势也伴随产生了。反电动势的测试可以判断永...
随着新能源汽车技术的快速发展,四电机驱动电动汽车逐渐成为高性能电动车型的发展趋势。此类车型通过在前后轴各配置双电机,实现更精准的扭矩分配、更强的动力输出与更高的能效表现。然而,多电机系统的复杂性对测试测量设备提出了更高要求。横河电机推出的WT5000功率分析仪,凭借其高精度、多通道同步测量能力,成为四电机电动汽车测试的...
功率分析仪是一款用于测试电力系统和电力设备参数的仪器。它可以用于测量交、直流电源的多种参数,如电压、电流、功率、功率因素、电能等。功率分析仪在电力系统、电力设备制造、电子、工业自动化等领域都有广泛的应用。本文将详细介绍功率分析仪的作用和用途。
电机堵转即电机在零转速时依然输出扭矩的一种状态,一般都是异物,机械损伤或者人为造成的。当电机负载过大、异物卡死、拖动设备机械故障、轴承损伤等,都会造成电机无法启动或者停止转动。 电机正常转动时,定子产生的旋转磁场带动着转子跟随磁场旋转方向转动,转子转动过程中,切割磁感线而产生感应电流,感应电流产生的磁场随着转子转动,...
PWM调速就是在固定的频率下,通过控制电力半导体器件在一周期内的开通与关断时间,调整直流电机两端的电压大小,从而调节电机转速。PWM调速具有控制方便、调速平滑、响应速度快等优点,因此在直流电机调速领域中被广泛采用。PWM调速主要靠电压的调整,而电压的变化对直流电机的转矩、机械特性也会造成影响。为研究这种影响的变化规律,...
联系电话: 18165377573