利用声表面波(SAW)技术探测扭曲双层石墨烯(TBG)的量子相变,需高精度测量微弱的SAW电压信号(频率259.75 MHz)。传统电输运测量无法检测低电导态(如不可压缩态),而OE2052通过高灵敏度锁相检测解决了这一难题。
2025年,复旦大学修发贤教授和张成研究员的团队在《Nano Letters》发表题为"Phase Diagram Mapping of a Moiré System Using Surface Acoustic Waves"的研究成果,首次将表面声波(SAW)技术应用于扭曲双层石墨烯(TBG)摩尔系统。通过法布里-珀罗SAW谐振器(259.75 MHz)与1.04° TBG器件的集成,实现了对关联绝缘态、陈绝缘体态和朗道能级的高灵敏度探测。实验中,赛恩科仪OE2052锁相放大器作为核心测量设备,成功解决了低电导态(10-6 S/m)信号微弱、易被噪声淹没的难题,为揭示量子态频率依赖性提供了关键技术支持。

图1.(a)带有谐振腔型 IDT 的 TBG 器件示意图
(b)Y 型切割 NbLiO3 基底面上的 TBG 器件横截面图
【测量系统搭建】

图2.测量系统示意图
关键步骤
1.信号同步OE2052的参考输入端连接射频信号源,锁定SAW频率(259.75 MHz)
2.降频处理使用混频器将高频SAW信号降频至OE2052**检测范围,提升信噪比,避免高频损耗
3.参数提取直接测量VSAW幅度(衰减)和相对于V0的相位差声速变化)4.噪声抑制利用OE2052的高动态储备(>120dB)和低输入噪声(<4nV/√Hz),在强电磁干扰环境(14T磁场)下稳定工作,得到声表面波测量结果(图3、图4)

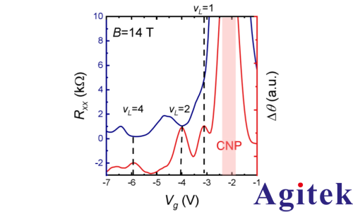
图3.在B=14T时,CNP附近测得的声表面波相移和经度电阻的比较

图4.通过声表面波传输的电压的归一化相位与摩尔填充因子和垂直磁场的函数关系
信号检测原理
1.相移测量(对应声速变化):

· OE2052配置:时间常数,等效噪声带宽
· 灵敏度:可检测相移(对应)
2.衰减测量(对应电导率):

系统优势
· 非接触测量:仅需单点接地电极,避免传统输运测量的欧姆接触问题
· 高信噪比:在9T强磁场下可分辨ν_L=-1朗道能级(传统输运无法检测)
· 动态响应:通过栅压扫描实时关联填充因子ν与高频电导率σ_ω(图5)

图5.通过声表面波计算的高频电导率(a)纵向传输电阻率 ρxx(黑色)和声表面波重建电阻率 ρω,频率为 fc = 259.75 MHz(红色),由声表面波相移计算得出,是零磁场下摩尔填充因子v的函数(b)磁场下 v = +2 时的纵向电导率 σxx 和声表面波重构电导率 σω(c)在零磁场下,v = +2 和 +4 时,ρxx 和 ρω 作为声功率 P 的函数的比较(d)电子在 Enk 和 Emk 之间转变所产生的直流带间电导率(e)Enk 和 Emk ± ΔEω 之间电子转变所产生的交流带间电导率;与 nF(Emk)相比,半填充时的小平带色散导致 nF(Emk±ΔEω)显著降低,从而抑制了高频电导率由于频带色散较大,交流电导率没有受到影响。
总结
OE2052高灵敏锁相放大器在SAW-莫尔系统研究中展现出三大革命性优势:
· R 极限灵敏度:在低电导区域(10-6 S/m)信噪比提升100倍,成功探测"隐藏"量子态
· R 非接触式测量:避免纳米电极制备难题,特别适用于绝缘/半导态莫尔材料
· R 高频电导解析:提供259.75 MHz射频电导数据,揭示平带跃迁的量子几何效应
相关产品
OE2052配备了低噪声模拟前端放大器,能够高效处理差分信号或单端信号,等效输入噪声低至3nV/√Hz。该通道的输入阻抗可选择50Ω或10MΩ,满量程灵敏度范围为1nV至1V,动态范围可以达到120dB以上。此外,信号输入通道采用双ADC设计,兼顾高速与高精度测量需求,用户可根据实际应用场景选择高速14位ADC(支持D...
OE4201是一款浮地隔离的压控电流源设备,可为其他仪器设备提供电流源。OE4201输出增益具有2mA/V与200mA/V两个档位,频率为1Hz-100kHz的交流电流。作为一款电流源仪器,OE4201精度高,稳定性好,输出基本上跟负载和外电压变化无关,抗干扰能力强,反应速度快。该仪器适用于与锁相放大器等灵敏交流仪器配...
OE4003 超低噪声前置放大器,2 nV/√Hz输入噪声。10,20,50,100倍增益,10kΩ输入阻抗,单端或差分输入
OE4002是一款低噪声超高输入阻抗的前置放大器,输入阻抗高达10MΩ,并具有绝佳的共模抑制能力。
相关文章
中国科学院合肥物质科学研究院盛志高教授团队与荷兰Radboud大学A.V. kimel教授团队借助赛恩科学仪器(SSI)的 OE1022 锁相放大器,成功从压电层 PMN-PT 耦合输出的复杂电信号中,精准甄别并提取出交流磁场激发所对应的微弱同相、正交电压信号(Vx和 Vy),为 Fe3GeTe2 高磁场下超快退磁过程...
锁相放大器(Lock-in Amplifier)作为一种高精度信号检测仪器,广泛应用于物理、化学、生物及材料科学等领域,用于从强噪声背景中提取微弱交流信号。随着自动化实验需求的增加,实现对锁相放大器的远程控制已成为科研与工业测试中的重要环节。目前,主流的远程控制方式主要包括GPIB、USB和Ethernet三种接口技术...
在现代凝聚态物理与材料科学的研究中,电输运测量是揭示材料电学性质(如电阻率、霍尔效应、量子振荡等)的重要手段。为了在强噪声背景下精确提取微弱电信号,锁相放大器(Lock-in Amplifier)成为电输运实验中不可或缺的核心设备。本文将介绍如何利用锁相放大器搭建一个完整的电输运测量系统。
在现代电子材料与器件表征中,高精度测量电感(L)、电容(C)和电阻(R)是分析其电磁特性与性能稳定性的关键。斯坦福研究所(SRS)生产的SR860锁相放大器凭借其高灵敏度、宽频带响应与卓越的噪声抑制能力,成为实现微弱LCR信号精准提取的理想工具。结合交流激励与相敏检测技术,SR860可有效克服环境干扰,实现纳伏级信号的...
在精密电子测量领域,飞安级(fA)漏电流的检测是一项极具挑战性的任务,广泛应用于半导体器件测试、生物传感器、光电探测器及高阻材料分析等场景。由于飞安级电流极其微弱,易受环境噪声、电磁干扰和运放偏置电流的影响,传统测量方法难以胜任。锁相放大器(Lock-in Amplifier, LIA)凭借其卓越的信噪比(SNR)提升...
联系电话: 18165377573