1. 感抗(XL)
定义:电感元件对交流电流的阻碍作用,其阻碍能力与交流信号频率正相关。
计算公式:XL=2ΠfL
关键特性:频率(f)越高、电感量(L)越大,感抗越大,对高频交流的阻碍作用越强。
2. 容抗(XC)
定义:电容元件对交流电流的阻碍作用,其阻碍能力与交流信号频率负相关。
计算公式:XC=1/2ΠfC
关键特性:频率(f)越高、电容量(C)越大,容抗越小,对高频交流的阻碍作用越弱。
3. 功率放大器(功放)
定义:一种电子设备,核心功能是将输入的弱交流信号(如音频信号)进行功率放大,驱动负载(如音箱、喇叭)正常工作,其工作效率、稳定性与负载特性直接相关。

二、核心关系:容抗、感抗决定功放的负载特性
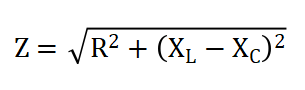
功放的负载(如音箱、喇叭)并非纯电阻负载,而是由“电阻(R)+ 电感(音圈等)+ 分布电容”组成的RLC复合负载,因此功放实际面对的负载是复阻抗(Z),容抗和感抗是复阻抗的核心组成部分。
复阻抗计算公式:

关键结论:容抗(XC)和感抗(XL)的大小的变化,直接决定了功放负载复阻抗的数值和相位,进而影响功放的驱动难度、工作稳定性和输出效果。
三、容抗、感抗对功率放大器的具体影响(核心重点)
1. 负载阻抗随频率动态变化
由于容抗、感抗均与信号频率相关,因此功放的负载复阻抗会随交流信号频率的变化而剧烈波动:
低频信号:感抗(XL)较小、容抗(XC)较大,负载复阻抗接近纯电阻,功放驱动难度较低;
高频信号:感抗(XL)较大、容抗(XC)较小,负载复阻抗升高,功放驱动难度增加。
本质:功放并非驱动固定负载,而是随信号频率变化的动态负载。
2. 感抗的负面影响(感性负载)
当负载中感抗占比过高时,负载呈现“感性”,会导致交流电流滞后于电压,产生无功功率,对功放造成以下影响:
功放输出级(尤其是晶体管、乙类/甲乙类功放)发热加剧,能耗增加;
信号失真度上升,影响输出信号的保真度;
高频信号下易出现功放不稳定、自激现象,损坏功放元件。
3. 容抗的负面影响(容性负载)
当负载中容抗占比过高时,负载呈现“容性”,会导致交流电流超前于电压,同样对功放造成不良影响:
破坏功放的环路稳定性,高频信号易出现振铃、过冲现象;
增加功放输出级的负担,可能导致输出功率下降、元件损耗加快。
总结
功放的负载并非纯电阻,而是由电阻、容抗、感抗共同构成的复阻抗,三者的比例决定负载特性;
相关推荐
射频功率放大器(Radio Frequency Power Amplifier,简称RF PA)是一种将信号功率放大的电子设备,广泛的应用于各个领域的无线通信设备中。 射频功率放大器是各种无线发射机的核心部件。发射机的前级电路中产生并提供微小功率的射频信号,要经过一系列的放大,有的是一级放大,有的可能需要经过多级放大...
在射频通信系统中,功率放大器(PA)作为发射链路末级核心器件,其性能直接决定信号质量与系统效率。除增益压缩与效率外,误差矢量幅度(EVM)和邻道功率比(ACPR
OE4300为赛恩科学仪器推出的一款多通道高压功率放大器,其主要作用是将低功率信号放大为高功率信号,OE4300多通道高压功率放大器,各通道控制可独立选择,控制功放放大倍数和电压偏置选择能实现与多台信号发生器配到使用,实现信号的放大且各通道互不影响;通常应用在MEMS测试、超声波测试、电磁场驱动、无线电能传输以及院校电...
联系电话: 18165377573