4225-PMU有3种模式:分段Arb,全Arb和标准脉冲模式。在标准脉冲模式下,PMU可以在5V范围内实现10ns的脉冲宽度。
标准脉冲模式产生两个电压等级的脉冲,但不进行测量。脉冲定时由触发和脉冲开始之间的延迟、上升时间、下降时间、脉冲宽度和脉冲周期构成。
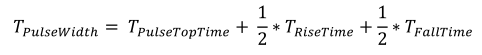
定义的脉冲宽度采用半峰全宽 (full width half maximum, FWHM) 标准。脉冲宽度的计算公式如下:

脉冲顶时间由PMU根据用户指定的脉冲宽度、上升和下降时间计算。然后脉冲周期是延迟、脉冲宽度、1/2的上升和下降时间和任何闲置时间的总和,如下面的等式所示:

脉冲模式的定时参数如下图所示:

图1. 脉冲计时
由于标准脉冲模式不需要测量,PMU可以实现其最小10ns脉冲宽度。PMU_examples_ulib用户库中的PMU_10ns_Pulse_Example模块使用精确的参数进行设置,以演示这种脉冲功能。将示波器连接到PMU的输出,可以获取脉冲波形。

图2: 使用示波器捕获的脉宽为10ns的脉冲
硬件要求 :
4225-PMU带或不带4225-RPM
水平分辨率为20ns的示波器
白色SMA电缆 (无RPM) 或三轴电缆 (有RPM)
SMA母转BNC公转适配器 (无RPM) 或Triax母转BNC公转适配器 (有RPM)
在示波器上查看输出
1. 打开Clarius并设置测试
a) 创建一个新项目
b) 添加一个通用2端被测
c) 添加自定义UTM测试
d) 置UTM为PMU_examples_ulib库,并选择PMU_10ns_Pulse_Example 模块
e) 选择需要配置的4225-PMU
f) 选择所需通道
2. 将示波器连接到4225-PMU上
a) 无RPM:将SMA电缆连接到所需通道输出,然后将另一端通过SMA转BNC适配器连接到示波器。
b) 带RPM:将三轴电缆连接到所需RPM的Force输出端,然后将另一端通过三同轴转BNC适配器连接到示波器。
3. 设置示波器来捕获脉冲
a) 垂直分辨率:200mV
b) 通道终端:50Ω
c) 水平分辨率:20ns
d) 水平延迟:关闭
e) 触发类型:边沿
f) 触发的边沿:上升
g) 触发电平:~300mV
4. 示波器将捕获波形
将示波器设置为单次触发,并在Clarius中运行UTM,示波器将捕获波形。

图3: 使用混合域示波器进行波形捕获
5. 使用自动测量或光标验证10ns脉冲宽度
a) 注意:脉冲宽度为FWHM/ 半峰全宽标准,应从最大振幅上升和下降的一半开始测量。
b) 对于这个模块 ( 脉冲从-1V到1V),脉冲判定取值在0V

图4. 光标测量脉冲宽度
相关产品
同惠TH2883系列产品是同惠研发的脉冲式线圈测试仪产品线。可完整提供低压30V到高压10kV,单通道到多通道(最大8通道)系列线圈测试仪解决方案。 该产
1、设备使用电源要求: 输入电压:单相AC220V10%(,中国大陆) 频率:50/60Hz 相数:单相三线制(L-N-PE) 电压分辨率:1V
PM8572A 型是高性能的双通道脉冲/码型发生器,可将普通脉冲发生器的规格发挥到极限,成为迄今为止市场上最先进的脉冲波形发生器。除了高性能脉冲功能外,新型PM8572A还可生成完整的标准、任意和序列波形阵列,这是当今实验室的必需品。
PM8571A 型是高性能的单通道脉冲/模式发生器,可将普通脉冲发生器的规格发挥到极限,成为迄今为止市场上最先进的脉冲波形发生器。除了高性能脉冲功能外,新型PM8571A还可生成完整的标准、任意和序列波形阵列,这是当今实验室的必需品。
相关文章
在电子测试领域,阻抗分析仪是评估电路、元件或材料阻抗特性的核心工具。根据激励信号形式的不同,阻抗测量可分为脉冲阻抗测量和连续波阻抗测量两大类。这两种方法在原理、
双脉冲测试(Double Pulse Test, DPT)是评估功率半导体器件(如IGBT、MOSFET、SiC/GaN器件)动态特性与开关性能的核心方法。通过向器件栅极施加两个特定时序的脉冲信号,可精确捕捉其在开通、关断及反向恢复过程中的瞬态行为。功率分析仪作为数据采集与处理的核心设备,在测试中扮演着至关重要的角色。...
安捷伦(Keysight)N9020A频谱分析仪作为一款高性能的X系列信号分析设备,广泛应用于无线通信、雷达、电子对抗及科研测试等领域,尤其在脉冲信号测量中表现出色。脉冲信号具有高瞬时功率、宽频谱和短持续时间等特点,对其精确测量需结合仪器特性与科学设置。以下是使用N9020A进行脉冲信号测量的实用技巧。
在汽车和工业应用中,由于硅基半导体性能的局限性, 功率电子中使用的半导体材料正逐渐从硅过渡到如碳 化硅(SiC)和氮化镓(GaN)这类宽禁带半导体。GaN 和SiC 支持更小、更快、更高效的设计。规制和经济压 力持续促使高压功率电子设计的效率提高。在空间受限 和/ 或移动应用(例如电动汽车)中,更小、更轻的设计 的功率...
随着电子技术的不断发展,可编程直流电源已广泛应用于科研、工业测试和自动化生产等领域。其中,脉冲输出模式因其能够模拟瞬态负载、进行动态响应测试等特殊功能,成为许多高精度应用场景中的关键需求。那么,如何实现可编程直流电源的脉冲输出模式?这需要从控制原理、电路设计与系统协同三个方面入手。
联系电话: 18165377573